四川省德阳市2017届高三12月名校联考语文试题及参考答案(5)
时间:2016-12-14
(三)名句名篇默写(5分)
16.补写下列句子中的空缺部分。
(1)范仲淹《渔家傲·秋思》中“ , ”两句既表达对家乡的思念,又包含功业未就、无法归家的无奈。
(2)李商隐《锦瑟》一诗借南海鲛人的典故来表达对美好理想执着追求却又无法实现的悲哀的一句是 。
(3)《阿房宫赋》中批判秦的纷奢是建立在对人民的盘剥之上且自身挥霍无度的两句是: , ?
三、语言文字运用(20分)
17.下列各句中加点成语的运用,全部正确的一项是(3分)
①工作中出现些小问题并不可怕,可怕的是忽视这些小问题而不思改变,时间久了,就可能积羽沉舟,悔之晚矣。
②感动中国的马帮邮递员王顺友,几十年如一日,独自行走在木里县山高水低的峡谷中,艰难环境与寂寞孤独,都不能阻止他前行的脚步。
③德阳建市之初,河东还是大片农田,在市委市府“开发河东,再造新城”的规划出台后,曾几何时,河东也出现了高楼林立的繁华景象。
④不好好用功,名校毕业生也可能被无情淘汰;而只要努力,普通院校的毕业生也可以很快在职场站稳脚跟。请相信,用人单位是不会有眼不识泰山的。
⑤今年10月,由人民文学出版社出版的《哈利·波特与被诅咒的孩子》终于在哈利波特迷引颈企盼中露出庐山真面。
⑥刘老爹死了还不到一年,刘家三兄弟就为了争房产而闹得天翻地覆,最后还是法院的工作人员介入,才解决了纠纷。
A.①③⑥ B.②③⑤ C.②④⑥ D.①④⑤
18.下列各句中,没有语病的一句是(3分)
A.腾讯无人机在研发初期,定位就与现在占市场主流的航拍型无人机不同,他们的目标用户是大众消费群体。
B.这家航空公司邀请旅客加入以当日航班号命名的微信群,及时发布航班信息提醒,与乘客良好互动,有效降低了春运游客误机时间,此举有利于文明秩序的建立。
C.越来越多的商界精英在商场风生水起时,没有放弃自己生活中的兴趣爱好,不仅让精神得到了很好的憩息,也追求到了富甲一方的财富。
D.为期五天的四川省第二届残疾人文化艺术节吸引了众多观众前来参观。展馆内,残疾人艺术作品涉及书法、绘画、雕塑、竹编、刺绣、剪纸等多种艺术门类,作品琳琅满目,颇见功底。
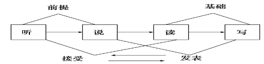
19.填入下面文段空白处的词语,最恰当的一组是(3分)
在宋朝以后,《孟子》成为《四书》之一, ① 它占《四书》一半以上的篇幅,
② 为各朝经筵讲解之用, ③ 为科举取士的标准,对中国思想史有无可估量的影响。而亚圣以慈悲为怀的心肠为民请命,他讲的话 ④ 富有激情,有时尤任直觉,例如“见牛未见羊”“君子远庖厨”。他的性善论必定带着一种强迫性的推论。 ⑤ 人既然生性为善, ⑥ 强迫人们保持这种天性也不算过分了。

20.在下面一段文字横线处补写恰当的语句,使整段文字语意完整,内容贴切,逻辑严密。每处不超过15个字。(5分)
陆地上几乎所有哺乳动物的脸上都长有触须。美国一项新研究显示,这些触须除了具有和人手一样的触感功能以外, ① 。研究人员以大鼠为研究对象,考察其“寻风”的能力,然后剪除它们的触须,结果“寻风”正确率下降了20%左右。如果把“寻风”改为“寻光”, ② ,这说明大鼠失去触须后“寻风”成功率下降与失去方向感或感到不适应无关。 ③ ,可以帮助它们找到食物、躲避天敌、迁徙乃至寻觅配偶。
21.下面是语言现象的图示框架图,请根据图示概述语言现象的基本特征,要求内容完整,表述准确,语言连贯,不超过50个字。(6分)

四、作文(60分)
22.阅读下面材料,根据要求写一篇不少于800字的文章。(60分)
近日有网友发文称“女孩蹲着等地铁没教养”引发热议。图片配文写道:“可能我太老了,很多事情比较保守,但是我就是不明白,为何现在那么多女孩子不懂得教养?等个地铁就可以随随便便蹲着,难看不难看?谁教她们的?这是什么生活习惯?”有部分网友的评论说,她们俩肯定是外地人,上海人是不会这样做的。对此你有何看法?请根据材料写一篇文章,字数800字以上。



